FUN88乐天使·(中国)集团
集团首页
|
设为首页
|
加入收藏
|
中文版
|
English
首 页
关于我们
FUN88乐天使简介
历史沿革
部校共建
组织机构
团队队伍
特聘教授
教授
副教授
讲师
外聘教师
党政教辅
人才培养
本科生
研究生
学术科研
员工动态
团队建设
科研成果
科研获奖
合作交流
党群工作
党建工作
工会工作
员工发展
团学工作
闻新社区
员工作品
人才招聘
招生信息
就业信息
员工园地
员工风采
员工讲坛
老照片
文件下载
当前位置:
首页
»
人才招聘
» 招生信息
人才招聘
招生信息
就业信息
招生信息
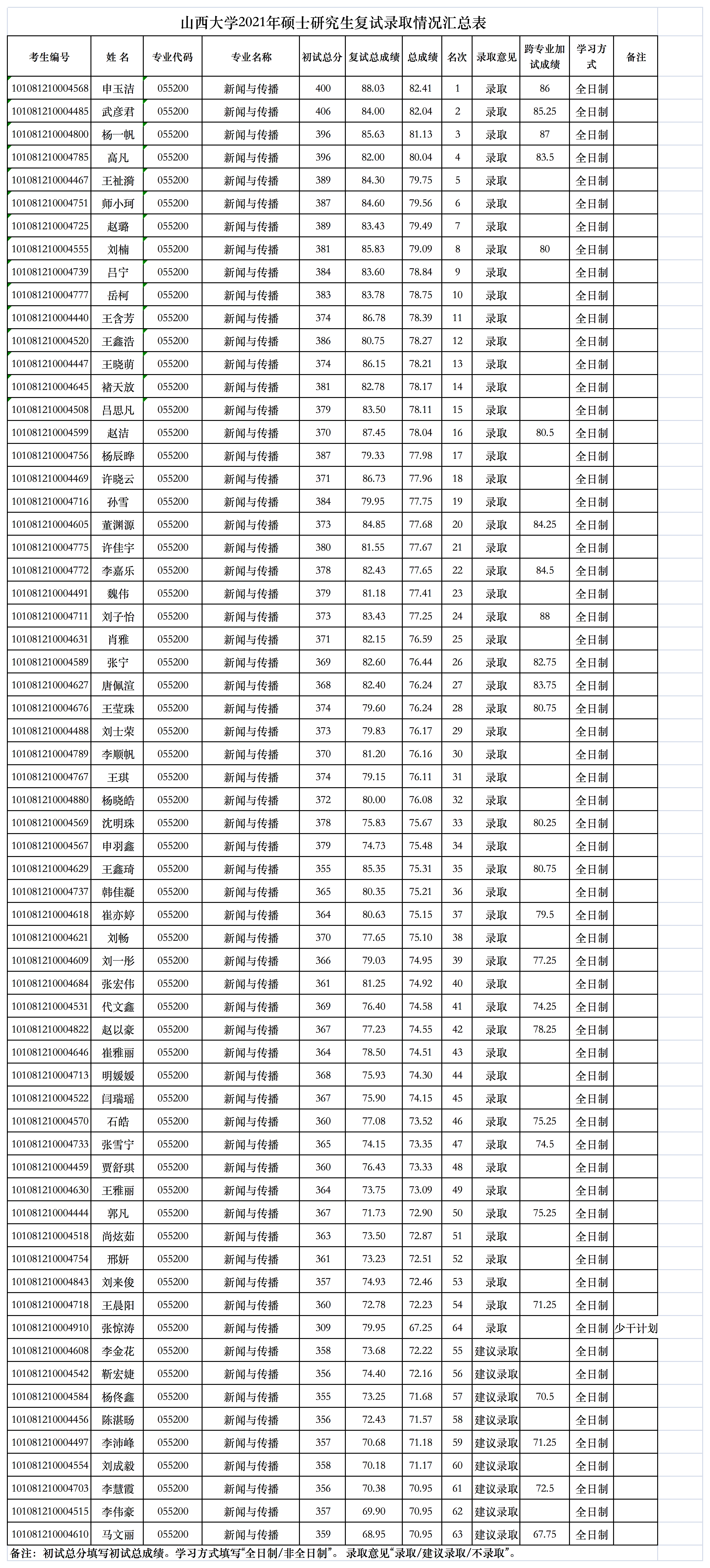
FUN88乐天使FUN88乐天使2021年硕士研究生复试录取情况公示
时间:2021-04-03 阅读次数:
FUN88乐天使·(中国)集团
版权所有 FUN88乐天使·(中国)集团 联系电话:0351-7011855 地 址:山西省太原市坞城路92号(邮编 030006) (晋)ICP备05000471号
建议浏览使用:1024*768分辨率、16位以上颜色、Mozilla1.7、IE6.0版本浏览器